Let f: R → R be defined as f(x) = 10x + 7. Find the function g: R → R such that g o f = f o g = 1R.
Let $f: \mathbf{R} \rightarrow \mathbf{R}$ be defined as $f(x)=10 x+7$. Find the function $g$ : $\mathbf{R} \rightarrow \mathbf{R}$ such that $g \circ f=f \circ g=1_{\mathbf{R}}$.
It is given that $f: \mathbf{R} \rightarrow \mathbf{R}$ is defined as $f(x)=10 x+7$.
One-one:
Let $f(x)=f(y)$, where $x, y \in \mathbf{R}$.
$\Rightarrow 10 x+7=10 y+7$
$\Rightarrow x=v$
$\therefore f$ is a one-one function
Onto:
For $y \in \mathbf{R}$, let $y=10 x+7$
$\Rightarrow x=\frac{y-7}{10} \in \mathbf{R}$
Therefore, for any $y \in \mathbf{R}$, there exists $x=\frac{y-7}{10} \in \mathbf{R}$ such that $f(x)=f\left(\frac{y-7}{10}\right)=10\left(\frac{y-7}{10}\right)+7=y-7+7=y$.
∴ f is onto.
Therefore, f is one-one and onto.
Thus, f is an invertible function.
Let us define $g: \mathbf{R} \rightarrow \mathbf{R}$ as $g(y)=\frac{y-7}{10}$.
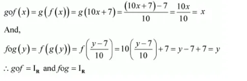
Now, we have:

Hence, the required function $g: \mathbf{R} \rightarrow \mathbf{R}$ is defined as $g(y)=\frac{y-7}{10}$.