Let $f: W \rightarrow W$ be defined as $f(n)=n-1$, if is odd and $f(n)=n+1$, if $n$ is even. Show that $f$ is invertible. Find the inverse of $f$. Here, W is the set of all whole numbers.
It is given that:
$f: W \rightarrow W$ is defined as $f(n)= \begin{cases}n-1, & \text { if } n \text { is odd } \\ n+1, & \text { if } n \text { is even }\end{cases}$
One-one:
Let f(n) = f(m).
It can be observed that if n is odd and m is even, then we will have n − 1 = m + 1.
$\Rightarrow n-m=2$
However, this is impossible.
Similarly, the possibility of n being even and m being odd can also be ignored under a similar argument.
∴Both n and m must be either odd or even.
Now, if both n and m are odd, then we have:
$f(n)=f(m) \Rightarrow n-1=m-1 \Rightarrow n=m$
Again, if both $n$ and $m$ are even, then we have:
f(n) = f(m) ⇒ n + 1 = m + 1 ⇒ n = m
∴f is one-one.
It is clear that any odd number $2 r+1$ in co-domain $\mathbf{N}$ is the image of $2 r$ in domain $\mathbf{N}$ and any even number $2 r$ in co-domain $\mathbf{N}$ is the image of $2 r+1$ in domain $\mathbf{N}$.
=∴f is onto.
Hence, f is an invertible function.
Let us define $g: W \rightarrow W$ as:
$g(m)=\left\{\begin{array}{l}m+1, \text { if } m \text { is even } \\ m-1, \text { if } m \text { is odd }\end{array}\right.$
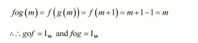
Now, when n is odd:

And, when n is even:

Similarly, when m is odd:

When m is even:

Thus, $f$ is invertible and the inverse of $f$ is given by $f^{-1}=g$, which is the same as $f$.
Hence, the inverse of $f$ is $f$ itself.