Let f(x) be a polynomial of degree 3 such that

Question:

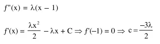
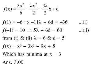
Let $f(x)$ be a polynomial of degree 3 such that $f(-1)=10, f(1)=-6, f(x)$ has a critical point at $x=-1$ and $f^{\prime}(x)$ has a critical point at $x=1$. Then $f(\mathrm{x})$ has a local minima at $\mathrm{x}=$ ___________.

Solution:

Leave a comment