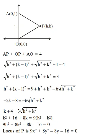
Question: Let $\mathrm{O}(0,0)$ and $\mathrm{A}(0,1)$ be two fixed points. Then the locus of a point $P$ such that the perimeter of $\triangle A O P$ is 4 , is :
$8 x^{2}-9 y^{2}+9 y=18$
$9 x^{2}+8 y^{2}-8 y=16$
$8 x^{2}+9 y^{2}-9 y=18$
$9 x^{2}-8 y^{2}+8 y=16$
Correct Option: , 2
Solution:
