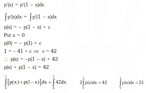
Question:
Let $\mathrm{p}(\mathrm{x})$ be a function defined on $\mathrm{R}$ such that $\mathrm{p}^{\prime}(\mathrm{x})=\mathrm{p}^{\prime}(1-\mathrm{x})$, for all $\mathrm{x} \in[0,1], \mathrm{p}(0)=1$ and $p(1)=41$. Then $\int_{0}^{1} p(x) d x$ equals :-
Correct Option: , 2
Solution:
