Let the equations of two ellipses be
Question:
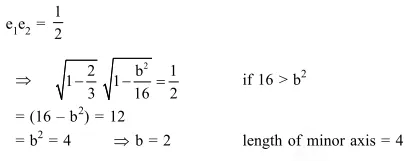
Let the equations of two ellipses be $E_{1}: \frac{x^{2}}{3}+\frac{y^{2}}{2}=1$ and $E_{2}: \frac{x^{2}}{16}+\frac{y^{2}}{b^{2}}=1$. If the product of their eccentricities is $\frac{1}{2}$, then the length of the minor axis of ellipse $E_{2}$ is :-
Correct Option: , 4
Solution:
