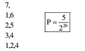
Question: Let $S=\{1,2, \ldots \ldots, 20\}$. A subset $B$ of $S$ is said to be "nice", if the sum of the elements of B is 203 . Then the probability that a randomly chosen subset of $S$ is "nice" is :-
$\frac{6}{2^{20}}$
$\frac{5}{2^{20}}$
$\frac{4}{2^{20}}$
$\frac{7}{2^{20}}$
Correct Option: , 2
Solution:
