Question:
Let the line $L$ be the projection of the line $\frac{x-1}{2}=\frac{y-3}{1}=\frac{z-4}{2}$ in the plane $x-2 y-z=3 .$ If $d$ is the distance of the point $(0,0,6)$ from $\mathrm{L}$, then $\mathrm{d}^{2}$ is equal to _________.
Solution:
$\mathrm{L}_{1}: \frac{\mathrm{x}-1}{2}=\frac{\mathrm{y}-3}{1}=\frac{\mathrm{z}-4}{2}$
for foot of $\perp \mathrm{r}$ of $(1,3,4)$ on $\mathrm{x}-2 \mathrm{y}-\mathrm{z}-3=0$
$(1+t)-2(3-2 t)-(4-t)-3=0$
$\Rightarrow \mathrm{t}=2$
So foot of $\perp \mathrm{r} \triangleq(3,-1,2)$
\& point of intersection of $\mathrm{L}_{1}$ with plane
is $(-11,-3,-8)$
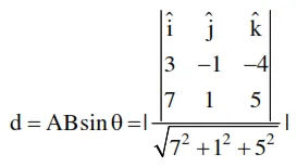
dr's of $L$ is $<14,2,10>$
$\cong<7,1,5>$


$\Rightarrow \mathrm{d}^{2}=\frac{1^{2}+(43)^{2}+(10)^{2}}{49+1+25}=26$