Let z be complex number such that
Question:
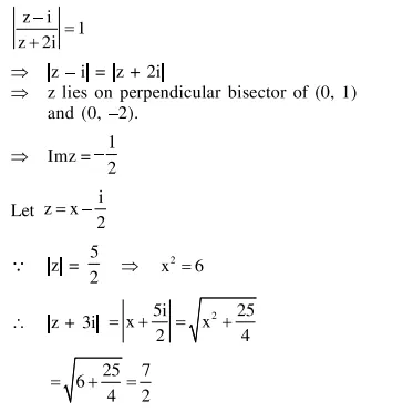
Let $z$ be complex number such that $\left|\frac{z-i}{z+2 i}\right|=1$
and $|z|=\frac{5}{2}$. Then the value of $|z+3 i|$ is :
Correct Option: , 3
Solution:
