Let $z$ be those complex numbers which satisfy $|z+5| \leq 4$ and $z(1+i)+\bar{z}(1-i) \geq-10, i=\sqrt{-1}$
If the maximum value of $|z+1|^{2}$ is $\alpha+\beta \sqrt{2}$, then the value of $(\alpha+\beta)$ is
$|z+5| \leq 4$
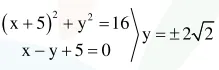
$(x+5)^{2}+y^{2} \leq 16$..(1)
$\mathrm{z}(1+\mathrm{i})+\overline{\mathrm{z}}(1-\mathrm{i}) \geq-10$
$(z+\bar{z})+i(z-\bar{z}) \geq-10$
$x-y+5 \geq 0$..(2)

$|z+1|^{2}=|z-(-1)|^{2}$
Let $\mathrm{P}(-1,0)$
(where $\mathrm{B}$ is in $3^{\text {rd }}$ quadrant)
for point of intersection

$\mathrm{A}(2 \sqrt{2}-5,2 \sqrt{2}) \quad \mathrm{B}(-2 \sqrt{2}-5,-2 \sqrt{2})$
$\mathrm{PB}^{2}=(+2 \sqrt{2}+4)^{2}+(2 \sqrt{2})^{2}$
$|z+1|^{2}=8+16+16 \sqrt{2}+8$
$\alpha+\beta \sqrt{2}=32+16 \sqrt{2}$
$\alpha=32, \beta=16 \Rightarrow \alpha+\beta=48$