Mark against the correct answer in each of the following:
Question:
Mark $(\sqrt{)}$ against the correct answer in each of the following:
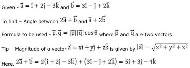
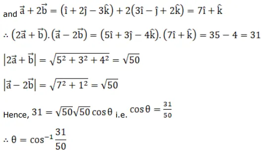
If $\vec{a}=(\hat{i}+2 \hat{j}-3 \hat{k})$ and $\overrightarrow{\mathrm{b}}=(3 \hat{\mathrm{i}}-\hat{\mathrm{j}}+2 \hat{\mathrm{k}})$ then the angle between $(2 \vec{a}+\vec{b})$ and $(\vec{a}+2 \vec{b})$ is
A. $\cos ^{-1}\left(\frac{21}{40}\right)$
B. $\cos ^{-1}\left(\frac{31}{50}\right)$
C. $\cos ^{-1}\left(\frac{11}{30}\right)$
D. none of these
Solution:

