Mark against the correct answer in each of the following:
Question:
Mark $(\sqrt{)}$ against the correct answer in each of the following:
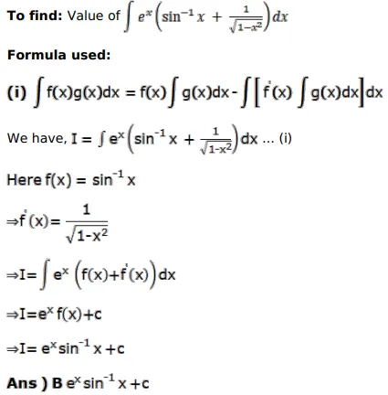
$\int e^{x}\left\{\sin ^{-1} x+\frac{1}{\sqrt{1-x^{2}}}\right\} d x=?$
A. $e^{x} \cdot \frac{1}{\sqrt{1-x^{2}}}+C$
B. $e^{x} \sin ^{-1} x+C$
C. $\frac{-\mathrm{e}^{\mathrm{x}}}{\sin ^{-1} \mathrm{x}}+\mathrm{C}$
D. none of these
Solution:
