Question:
Mark $(\sqrt{)}$ against the correct answer in each of the following:
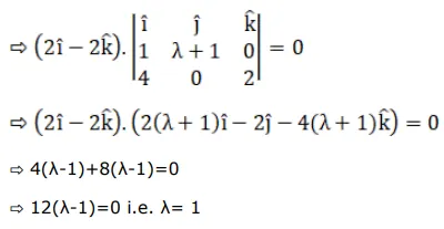
It is given that the vectors $\overrightarrow{\mathrm{a}}=(2 \hat{\mathrm{i}}-2 \hat{\mathrm{k}}), \overrightarrow{\mathrm{b}}=\hat{\mathrm{i}}+(\lambda+1) \hat{\mathrm{j}}$ and $\overrightarrow{\mathrm{c}}=(4 \hat{\mathrm{i}}+2 \hat{\mathrm{k}})$ are coplanar. Then, the value of $\lambda$ isĀ
A. $\frac{1}{2}$
B. $\frac{1}{3}$
C. 2
D. 1
Solution:

