Question:
Mark $(\sqrt{)}$ against the correct answer in the following:
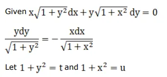
The general solution of the $\operatorname{DEx} \sqrt{1+\mathrm{y}^{2}} \mathrm{dx}+\mathrm{y} \sqrt{1+\mathrm{x}^{2}} \mathrm{dy}=0$ is
A. $\sin ^{-1} x+\sin ^{-1} y=C$
B. $\sqrt{1+x^{2}}+\sqrt{1+y^{2}}=C$
C. $\tan ^{-1} x+\tan ^{-1} y=\mathrm{C}$.
D. None of these
Solution:

