Question:
Mark the tick against the correct answer in the following:
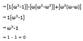
If $\omega$ is a complex cube root of unity then the value of $\left|\begin{array}{ccc}1 & \omega & 1+\omega \\ 1+\omega & 1 & \omega \\ \omega & 1+\omega & 1\end{array}\right|$ is
A. 2
B. 4
C. 0
D. $-3$
Solution:

