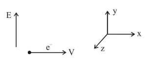
An electron is moving along $+\mathrm{x}$ direction with a velocity of $6 \times 10^{6} \mathrm{~ms}^{-1}$. It enters a region of uniform electric field of $300 \mathrm{~V} / \mathrm{cm}$ pointing along $+\mathrm{y}$ direction. The magnitude and direction of the magnetic field set up in this region such that the electron keeps moving along the $x$ direction will be:
Correct Option: 1,

$\overrightarrow{\mathrm{B}}$ must be in $+\mathrm{z}$ axis.
$\overrightarrow{\mathrm{V}}=6 \times 10^{6} \hat{\mathrm{i}}$
$\overrightarrow{\mathrm{E}}=300 \hat{\mathrm{j}} \mathrm{V} / \mathrm{cm}=3 \times 10^{4} \mathrm{~V} / \mathrm{m}$
$\mathrm{q} \overrightarrow{\mathrm{E}}+\mathrm{q} \overrightarrow{\mathrm{V}} \times \overrightarrow{\mathrm{B}}=0$
$\mathrm{E}=\mathrm{VB}$
$\mathrm{B}=\frac{\mathrm{E}}{\mathrm{V}}=\frac{3 \times 10^{4}}{6 \times 10^{6}}=5 \times 10^{-3} \mathrm{~T}$