Point A and B are 70 km. a part on a highway. A car starts from A and another car starts from B simultaneously. If they travel in the same direction, they meet in 7 hours, but if the travel towards each other, the meet in one hour. Find the speed of the two cars.
We have to find the speed of car
Let $X$ and $Y$ be two cars starting from points $A$ and $B$ respectively. Let the speed of car $X$ be $x \mathrm{~km} / \mathrm{hr}$ and that of car $Y$ be $y \mathrm{~km} / \mathrm{hr}$.
Case I: When two cars move in the same directions:
Suppose two cars meet at point $Q$, Then,
Distance travelled by car $X=A Q$
Distance travelled by car $Y=B Q$
It is given that two cars meet in 7 hours.
Therefore, Distance travelled by car $X$ in 7 hours $=7 x \mathrm{~km}$
$A Q=7 x$
Distance traveled by car $y$ in 7 hours $=7 y \mathrm{~km}$
$B Q=7 Y$
Clearly $A Q-B Q=A B$
$7 x-7 y=70$
Dividing both sides by common factor 7 we get,
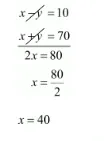
$x-y=10 \cdots(i)$
Case II : When two cars move in opposite direction
Suppose two cars meet at point. Then,
Distance travelled by car $X=A P$,
Distance travelled by car $Y=B P$.
In this case, two cars meet in 1 hour
Therefore Distance travelled by car $X$ in 1 hour $=1 x \mathrm{~km}$
$A P=1 x$
Distance travelled by car $Y$ in 1 hour $=1 y \mathrm{~km}$
$B P=1 y$
From the above clearly,
$A P+B P=A B$
$A P+B P=A B$
$x+y=70 \ldots$ (ii)
By solving equation (i) and (ii), we get

Substituting $x=40$ in equation (ii) we get
$x+y=70$
$40+y=70$
$y=70-40$
$y=30$
Hence, the speed of car starting from point $\mathrm{A}$ is $40 \mathrm{~km} / \mathrm{hr}$.
The speed of car starting from point $B$ is $30 \mathrm{~km} / \mathrm{hr}$.