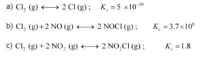
Predict which of the following reaction will have appreciable concentration of reactants and products:
Question:
Predict which of the following reaction will have appreciable concentration of reactants and products:

Solution:
If the value of $K_{c}$ lies between $10^{-3}$ and $10^{3}$, a reaction has appreciable concentration of reactants and products. Thus, the reaction given in (c) will have appreciable concentration of reactants and products.