Prove that:
Prove that:

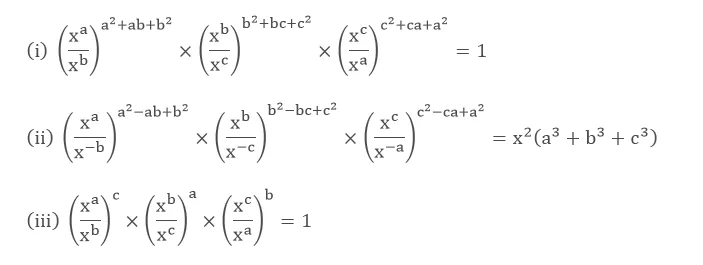
(i) To prove
$\left(\frac{x^{a}}{x^{b}}\right)^{a^{2}+a b+b^{2}} \times\left(\frac{x^{b}}{x^{c}}\right)^{b^{2}+b c+c^{2}} \times\left(\frac{x^{c}}{x^{a}}\right)^{c^{2}+c a+a^{2}}=1$
Left hand side (LHS) = Right hand side (RHS) Considering LHS,
$=\frac{x^{a^{3}}+a^{2} b+a b^{2}}{x^{a^{2} b}+a b^{2}+b^{3}} \times \frac{x^{b^{3}}+b^{2} c+b c^{2}}{x^{b^{2}} c+b c^{2}+c^{3}} \times \frac{x^{c^{3}}+c^{2} a+c a^{2}}{x^{c^{2}} a+c a^{2}+a^{3}}$
$=x^{a^{3}}+a^{2} b+a b^{2}-\left(b^{3}+a^{2} b+a b^{2}\right) \times x^{b^{3}}+b^{2} c+b c^{2}-\left(c^{3}+b^{2} c+b c^{2}\right) \times x^{c^{3}}$
$+c^{2} a+c a^{2}-\left(a^{3}+c^{2} a+c a^{2}\right)$
$=x^{a^{3}}-b^{3} \times x^{b^{3}-c^{3}} \times x^{c^{3}}-a^{3}$
$=x^{a^{3}}-b^{3}+b^{3}-c^{3}+c^{3}-a^{3}$
$=x^{0}$
$=1$
Or, Therefore, LHS = RHS Hence proved
(ii) To prove,
$\left(\frac{x^{a}}{x^{-b}}\right)^{a^{2}-a b+b^{2}} \times\left(\frac{x^{b}}{x^{-c}}\right)^{b^{2}-b c+c^{2}} \times\left(\frac{x^{c}}{x-a}\right)^{c^{2}-c a+a^{2}}=x^{2\left(a^{3}+b^{3}+c^{3}\right)}$
Left hand side (LHS) = Right hand side (RHS) Considering LHS,
$=x^{(a+b)\left(a^{2}-a b+b^{2}\right)} \times x^{(b+c)\left(b^{2}-b c+c^{2}\right)} \times x^{(c+a)\left(c^{2}-c a+a^{2}\right)}$
$=x^{a^{3}+b^{3}} \times x^{b^{3}+c^{3}} \times x^{c^{3}}+a^{3}$
$=x^{a^{3}+b^{3}+b^{3}+c^{3}+c^{3}+a^{3}}$
$=x^{2\left(a^{3}+b^{3}+c^{3}\right)}$
Therefore, LHS = RHS Hence proved
(iii) To prove,
$\left(\frac{x^{a}}{x^{b}}\right)^{c} \times\left(\frac{x^{b}}{x^{c}}\right)^{a} \times\left(\frac{x^{c}}{x^{a}}\right)^{b}=1$
Left hand side (LHS) = Right hand side (RHS) Considering LHS,
$=\left(\frac{\mathrm{x}^{\mathrm{ac}}}{\mathrm{x}^{\mathrm{bc}}}\right) \times\left(\frac{\mathrm{x}^{\mathrm{ba}}}{\mathrm{x}^{\mathrm{ca}}}\right) \times\left(\frac{\mathrm{x}^{\mathrm{bc}}}{\mathrm{x}^{\mathrm{ab}}}\right)$
$=x^{a c-b c} \times x^{b a-c a} \times x^{b c-a b}$
$=x^{a c-b c+b a-c a+b c-a b}$
$=x^{0}$
$=1$
Therefore, LHS = RHS
Hence proved