Prove that
(i) $\left(\sqrt{3 \times 5^{-3}} \div \sqrt[3]{3^{-1}} \sqrt{5}\right) \times \sqrt[5]{3 \times 5^{6}}=\frac{3}{5}$
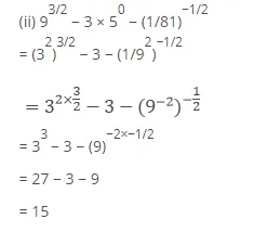
(ii) $9^{3 / 2}-3 \times 5^{0}-(1 / 81)^{-1 / 2}$
(iii) $\frac{1^{2}}{4}-3 \times 8^{\frac{2}{3}} \times 4^{0}+\left(\frac{9}{16}\right)^{-\frac{1}{2}}$
(iv) $\frac{2^{\frac{1}{2}} \times 3^{\frac{1}{3}} \times 4^{\frac{1}{4}}}{10^{-\frac{1}{5}} \times 5^{\frac{3}{5}}} \div \frac{4^{\frac{4}{3}} \times 5^{-\frac{7}{5}}}{4^{-\frac{3}{5}} \times 6}$
(v) $\sqrt{\frac{1}{4}}+(0.01)^{-\frac{1}{2}}-(27)^{\frac{2}{3}}$
(vi) $\frac{2^{n}+2^{n-1}}{2^{n+1}-2^{n}}$
(vii) $\left(\frac{64}{125}\right)^{-\frac{2}{3}}+\frac{1}{\left(\frac{256}{625}\right)^{-\frac{1}{4}}}+\left(\frac{\sqrt{25}}{\sqrt[3]{64}}\right)$
(viii) $\frac{3^{-3} \times 6^{2} \times \sqrt{98}}{5^{2} \times \sqrt[3]{\frac{1}{25}} \times(15)^{-\frac{4}{3}} \times 3^{\frac{1}{3}}}$
(ix) $\frac{(0.6)^{0}-(0.1)^{-1}}{\left(\frac{3}{8}\right)^{-1}\left(\frac{3}{2}\right)^{3}+(-3)^{1}}$
(i) $\left(\sqrt{3 \times 5^{-3}} \div \sqrt[3]{3^{-1}} \sqrt{5}\right) \times \sqrt[5]{3 \times 5^{6}}=\frac{3}{5}$
$\left(\sqrt{3 \times 5^{-3}} \div \sqrt[3]{3^{-1}} \sqrt{5}\right) \times \sqrt[5]{3 \times 5^{6}}$

$=\left((3)^{\frac{3+2}{6}} \times(5)^{-\frac{4}{2}}\right) \times\left((3)^{\frac{1}{6}} \times(5)\right)$


(iii) $\frac{1^{2}}{4}-3 \times 8^{\frac{2}{3}} \times 4^{0}+\left(\frac{9}{16}\right)^{-\frac{1}{2}}$
$=\left(\frac{1}{2^{2}}\right)^{-2}-3 \times 8^{\frac{2}{3}} \times 1+\left(\frac{3^{2}}{4^{2}}\right)^{-\frac{1}{2}}$
$=\left(2^{-2}\right)^{-2}-3 \times 8^{\frac{2}{3}} \times 1+\left(\frac{3^{2 \times-\frac{1}{2}}}{4^{2 \times-\frac{1}{2}}}\right)$
$=2^{4}-3 \times 2^{3 \times 2 / 3}+4 / 3$
$=16-3 \times 2^{2}+4 / 3$
$=16-3 \times 4+4 / 3$
$=16-12+4 / 3$
$=(12+4) / 3$
$=16 / 3$
(iv) $\frac{2^{\frac{1}{2}} \times 3^{\frac{1}{3}} \times 4^{\frac{1}{4}}}{10^{-\frac{1}{5}} \times 5^{3}} \div \frac{4^{\frac{4}{3}} \times 5^{-\frac{7}{5}}}{4^{-\frac{3}{5}} \times 6}$
$=\frac{2^{\frac{1}{2}} \times 3^{\frac{1}{3}} \times\left(2^{2}\right)^{\frac{1}{4}}\left(2^{2}\right)^{-\frac{3}{5}} \times(2 \times 3)}{(2 \times 5)^{-\frac{1}{5}} \times 5^{\frac{3}{5}} \times 3^{\frac{4}{3}} \times 5^{-\frac{7}{5}}}$
$=\frac{2^{\frac{1}{2}} \times 2^{\frac{1}{2}} \times\left(2^{2}\right)^{-\frac{6}{5}} \times 2^{1} \times 3^{\frac{1}{3}} \times 3}{2^{-\frac{1}{5}} \times 5^{-\frac{1}{5}} \times 5^{\frac{3}{5}} \times 3^{\frac{4}{3}} \times 5^{-\frac{7}{5}}}$
$=\frac{2^{\frac{1}{5}} \times 2^{\frac{1}{2}} \times 2^{\frac{1}{2}} \times 2^{-\frac{6}{5}} \times 2 \times 3^{\frac{1}{3}} \times 3 \times 3^{-\frac{4}{3}}}{5^{-\frac{1}{5}} \times 5^{\frac{3}{5}} \times 5^{-\frac{7}{5}}}$
$=\frac{(2)^{\frac{1}{2}+\frac{1}{2}-\frac{6}{5}+1+\frac{1}{5}} \times(3)^{\frac{1}{3}+1-\frac{4}{3}}}{5^{-\frac{1}{5}} \times 5^{3} \times 5^{-\frac{7}{5}}}$
$=\frac{(2)^{\frac{1}{5}+1-\frac{6}{5}+1} \times(3)^{1-\frac{3}{3}}}{5^{-\frac{5}{5}}}$
$=\frac{(2)^{\frac{1}{5}+2-\frac{6}{5}} \times(3)^{1-1}}{5^{-1}}$
$=\frac{(2)^{2-1} \times(3)^{1-1}}{5-1}$
$=\frac{(2)^{1} \times(3)^{0}}{5^{-1}}$
$=2 \times 1 \times 5$
$=10$
(v) $\sqrt{\frac{1}{4}}+(0.01)^{-\frac{1}{2}}-(27)^{\frac{2}{3}}$
$=\frac{1}{2}+\frac{1}{(0.01)^{\frac{1}{2}}}-\left(3^{3}\right)^{\frac{2}{3}}$
$=\frac{1}{2}+\frac{1}{(0.1)^{2 \times \frac{1}{2}}}-(3)^{3 \times \frac{2}{3}}$
$=1 / 2+1 /(0.1)^{1}-(3)^{2}$
$=1 / 2+1 /(0.1)-9$
$=1 / 2+10-9$
$=1 / 2+1$
$=3 / 2$
(vi) $\frac{2^{n}+2^{n-1}}{2^{n+1}-2^{n}}$
$=\frac{2^{n}+2^{n} \times 2^{-1}}{2^{n} \times 2^{1}-2^{n}}$
$=\frac{2^{n}\left[1+2^{-1}\right]}{2^{n}[2-1]}$
$=\frac{1+\frac{1}{2}}{1}$
$=1+\frac{1}{2}$
$=\frac{3}{2}$
(vii) $\left(\frac{64}{125}\right)^{-\frac{2}{3}}+\frac{1}{\left(\frac{256}{625}\right)^{-\frac{1}{4}}}+\left(\frac{\sqrt{25}}{\sqrt[3]{64}}\right)$
$=\left(\frac{125}{64}\right)^{\frac{2}{3}}+\frac{1}{\left(\frac{4^{4}}{5^{4}}\right)^{\frac{1}{4}}}+\left(\frac{5}{(64)^{\frac{1}{3}}}\right)$
$=\left(\frac{5^{3}}{4^{3}}\right)^{\frac{2}{3}}+\frac{1}{\left(\frac{4}{5}\right)}+\left(\frac{5}{\left(4^{3}\right)^{\frac{1}{3}}}\right)$
$=(5 / 4)^{2}+5 / 4+5 / 4$
$=25 / 16+10 / 4$
$=25 / 16+40 / 16$
$=(26+40) / 16$
$=65 / 16$
(viii) $\frac{3^{-3} \times 6^{2} \times \sqrt{98}}{5^{2} \times \sqrt[3]{\frac{1}{25}} \times(15)^{-\frac{4}{3}} \times 3^{\frac{1}{3}}}$
$=\frac{3^{-3} \times 36 \times \sqrt{7 \times 7 \times 2}}{5^{2} \times\left(\frac{1}{25}\right)^{\frac{1}{3}} \times(15)^{-\frac{4}{3}} \times 3^{\frac{1}{3}}}$
$=\frac{3^{-3} \times 36 \times 7 \sqrt{2}}{5^{2} \times\left(\frac{1}{5^{2 \times \frac{1}{3}}}\right) \times \frac{1}{(15)^{\frac{4}{3}}} \times 3^{\frac{1}{3}}}$
$=\frac{3^{-3} \times 36 \times 7 \sqrt{2}}{5^{2} \times 5^{-\frac{2}{3}} \times \frac{1}{(5 \times 3)^{\frac{4}{3}}} \times 3^{\frac{1}{3}}}$
$=\frac{3^{-3} \times 36 \times 7 \sqrt{2}}{5^{2} \times 5^{-\frac{2}{3}} \times 5^{\frac{4}{3}} \times 3^{\frac{4}{3}} \times 3^{\frac{1}{3}}}$
$=\frac{3^{-3} \times 36 \times 7 \sqrt{2}}{\left(5^{2} \times 5^{-\frac{2}{3}} \times 5^{-\frac{4}{3}}\right) \times 3^{-\frac{4}{3}} \times 3^{\frac{1}{3}}}$
$=\frac{3^{-3} \times 36 \times 7 \sqrt{2} \times 3^{\frac{4}{3}} \times 3^{\frac{1}{3}}}{(5)^{2-\frac{2}{3}-\frac{4}{3}}}$
$=\frac{3^{-3} \times 36 \times 7 \sqrt{2} \times 3^{\frac{4}{3}} \times 3^{\frac{1}{3}}}{(5) \frac{6-2-4}{3}}$
$=\frac{3^{-3+\frac{4}{3}-\frac{1}{3}} \times 36 \times 7 \sqrt{2}}{(5)^{0}}$
$=3^{-3+\frac{3}{3}} \times 36 \times 7 \sqrt{2}$
$=3^{-3+1} \times 36 \times 7 \sqrt{2}$
$=3^{-2} \times 36 \times 7 \sqrt{2}$
$=\frac{1}{3^{2}} \times 36 \times 7 \sqrt{2}$
$=\frac{1}{9} \times 36 \times 7 \sqrt{2}$
$=4 \times 7 \sqrt{2}$
$=28 \sqrt{2}$
(ix) $\frac{(0.6)^{0}-(0.1)^{-1}}{\left(\frac{3}{8}\right)^{-1}\left(\frac{3}{2}\right)^{3}+(-3)^{1}}$
$=\frac{1-\frac{1}{0.1}}{\frac{8}{3} \times\left(\frac{3}{2}\right)^{3}-3}$
$=\frac{1-10}{\frac{8}{3} \times \frac{3^{3}}{2^{3}}-3}$
$=\frac{-9}{3^{2}-3}$
$=\frac{-9}{9-3}$
$=\frac{-9}{6}$
$=\frac{-3}{2}$