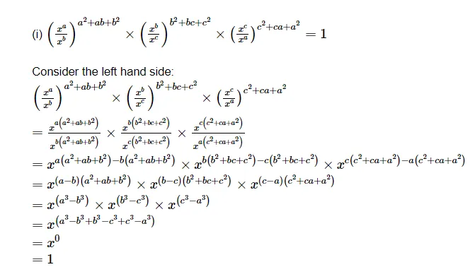
Question:
Prove that:

Solution:

Left hand side is equal to right hand side.
Hence proved.
(ii) $\left(\frac{x^{a}}{x^{b}}\right)^{c} \times\left(\frac{x^{b}}{x^{c}}\right)^{a} \times\left(\frac{x^{c}}{x^{a}}\right)^{b}=1$
Consider the left hand side:
$=\frac{x^{a c}}{x^{b c}} \times \frac{x^{b a}}{x^{c a}} \times \frac{x^{c b}}{x^{a b}}$
$=\frac{x^{a c}}{x^{b c}} \times \frac{x^{b a}}{x^{c a}} \times \frac{x^{c b}}{x^{a b}}$
$=\frac{x^{a c} \times x^{b a} \times x^{c b}}{x^{b c} \times x^{c a} \times x^{a b}}$
$=\frac{x^{a c+b a+c b}}{x^{b c+c a+a b}}$
$=1$
Left hand side is equal to right hand side.
Hence proved.