Prove that the lines joining the middle points of the opposite sides of a quadrilateral and the join of the middle points of its diagonals meet in a point and bisect one another.
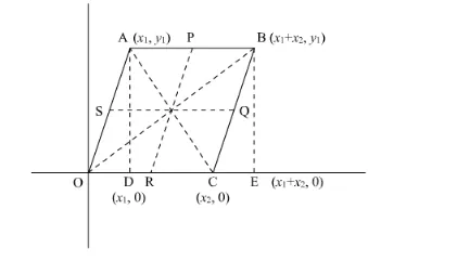
Let us consider a Cartesian plane having a parallelogram OABC in which O is the origin.
We have to prove that middle point of the opposite sides of a quadrilateral and the join of the mid-points of its diagonals meet in a point and bisect each other.

Let the co-ordinate of $\mathrm{A}$ be $\left(x_{1}, y_{1}\right)$. So the coordinates of other vertices of the quadrilateral are- $\mathrm{O}(0,0) ; \mathrm{B}\left(x_{1}+x_{2}, y_{1}\right) ; \mathrm{C}\left(x_{2}, 0\right)$
Let P, Q, R and S be the mid-points of the sides AB, BC, CD, DA respectively.
In general to find the mid-point $\mathrm{P}(x, y)$ of two points $\mathrm{A}\left(x_{1}, y_{1}\right)$ and $\mathrm{B}\left(x_{2}, y_{2}\right)$ we use section formula as,
$\mathrm{P}(x, y)=\left(\frac{x_{1}+x_{2}}{2}, \frac{y_{1}+y_{2}}{2}\right)$
So co-ordinate of point P,
$=\left(\frac{x_{1}+x_{2}+x_{1}}{2}, \frac{y_{1}+y_{1}}{2}\right)$
$=\left(\frac{2 x_{1}+x_{2}}{2}, y_{1}\right)$
Similarly co-ordinate of point Q,
$=\left(\frac{x_{1}+x_{2}+x_{2}}{2}, \frac{y_{1}}{2}\right)$
$=\left(\frac{2 x_{2}+x_{1}}{2}, \frac{y_{1}}{2}\right)$
Similarly co-ordinate of point R,
$=\left(\frac{x_{2}}{2}, 0\right)$
Similarly co-ordinate of point S,
$=\left(\frac{x_{1}}{2}, \frac{y_{1}}{2}\right)$
Let us find the co-ordinates of mid-point of PR as,
$=\left(\frac{\frac{2 x_{1}+x_{2}}{2}+\frac{x_{2}}{2}}{2}, \frac{y_{1}}{2}\right)$
$=\left(\frac{x_{1}+x_{2}}{2}, \frac{y_{1}}{2}\right)$
Similarly co-ordinates of mid-point of QS as,
$=\left(\frac{x_{1}+x_{2}}{2}, \frac{y_{1}}{2}\right)$
Now the mid-point of diagonal AC,
$=\left(\frac{x_{1}+x_{2}}{2}, \frac{y_{1}}{2}\right)$
Similarly the mid−point of diagonal OA,
$=\left(\frac{x_{1}+x_{2}}{2}, \frac{y_{1}}{2}\right)$
Hence the mid-points of PR, QS, AC and OA coincide.
Thus, middle point of the opposite sides of a quadrilateral and the join of the mid-points of its diagonals meet in a point and bisect each other.