Prove the following
Question:
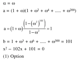
Let $\alpha=\frac{-1+\mathrm{i} \sqrt{3}}{2}$. If $\mathrm{a}=(1+\alpha) \sum_{\mathrm{k}=0}^{100} \alpha^{2 \mathrm{k}}$ and
$\mathrm{b}=\sum_{\mathrm{k}=0}^{100} \alpha^{3 \mathrm{k}}$, then a and $\mathrm{b}$ are the roots of the quadratic equation :
Correct Option: 1
Solution:
