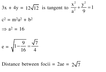
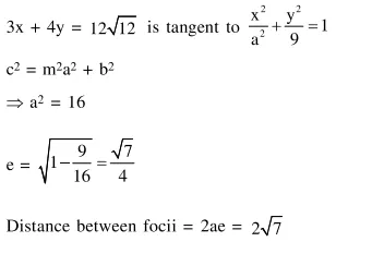
Question: If $3 x+4 y=12 \sqrt{2}$ is a tangent to the ellipse
$\frac{\mathrm{x}^{2}}{\mathrm{a}^{2}}+\frac{\mathrm{y}^{2}}{9}=1$ for some $\mathrm{a} \in \mathrm{R}$, then the distance
between the foci of the ellipse is :
4
$2 \sqrt{7}$
$2 \sqrt{5}$
$2 \sqrt{2}$
Correct Option: , 2
Solution:
