Prove the following
Question:
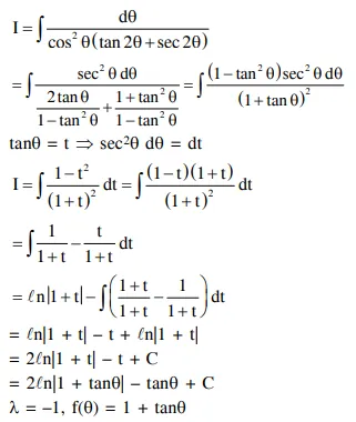
If $\int \frac{\mathrm{d} \theta}{\cos ^{2} \theta(\tan 2 \theta+\sec 2 \theta)}=\lambda \tan \theta+2 \log _{\mathrm{e}}|\mathrm{f}(\theta)|+\mathrm{C}$ where $C$ is a constant of integration, then the ordered pair $(\lambda, f(\theta))$ is equal to :
Correct Option: 1
Solution:
