Question:
Consider $f: \mathbf{R} \rightarrow \mathbf{R}$ given by $f(x)=4 x+3$. Show that $f$ is invertible. Find the inverse of $f$.
Solution:
$f: \mathbf{R} \rightarrow \mathbf{R}$ is given by,
$f(x)=4 x+3$
One-one:
Let $f(x)=f(y)$

∴ f is a one-one function.
Onto:
For $y \in \mathbf{R}$, let $y=4 x+3$
$\Rightarrow x=\frac{y-3}{4} \in \mathbf{R}$
Therefore, for any $y \in \mathbf{R}$, there exists $x=\frac{y-3}{4} \in \mathbf{R}$ such that
$f(x)=f\left(\frac{y-3}{4}\right)=4\left(\frac{y-3}{4}\right)+3=y$
∴ f is onto.
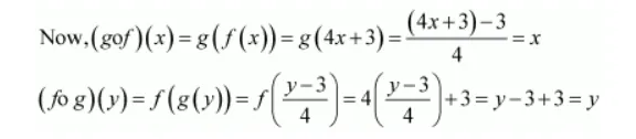
Thus, $f$ is one-one and onto and therefore, $f^{-1}$ exists.
Let us define $g: \mathbf{R} \rightarrow \mathbf{R}$ by $g(x)=\frac{y-3}{4}$.


Hence, f is invertible and the inverse of f is given by
$f^{-1}(y)=g(y)=\frac{y-3}{4}$