Sketch the region common to the circlex

Question:

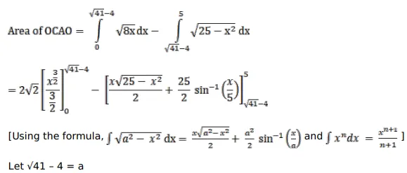
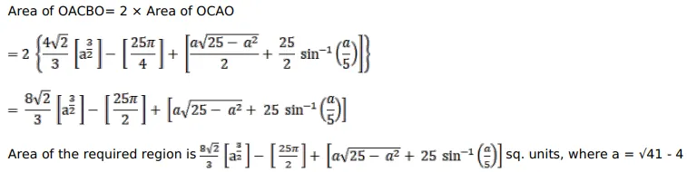
Sketch the region common to the circlex ${ }^{2}+y^{2}=25$ and the parabola $y^{2}=8 x .$ Also, find the area of the region, using integration.

Solution:

Leave a comment