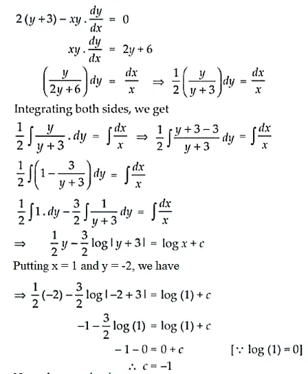
Solve : 2 (y + 3) – xy dy/dx = 0,

Question:

Solve : 2 (+ 3) – xy dy/dx = 0, given that y(1) = -2.

Solution:

Given differential equation, 2 (+ 3) – xy dy/dx = 0

Leave a comment

Comments

Rohit
July 4, 2024, 6:35 a.m.
(x/2 + y/3) ^ 3 - (x/2 - y/3) ^ 3