Solve each of the following systems of equations by the method of cross-multiplication :
Solve each of the following systems of equations by the method of cross-multiplication :
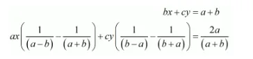
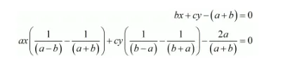
$b x+c y=a+b$
$a x\left(\frac{1}{a-b}-\frac{1}{a+b}\right)+c y\left(\frac{1}{b-a}-\frac{1}{b+a}\right)=\frac{2 a}{a+b}$
GIVEN:

To find: The solution of the systems of equation by the method of cross-multiplication:
Here we have the pair of simultaneous equation

By cross multiplication method we get
$\frac{x}{\left(-\frac{2 a c}{(a+b)}\right)-\left(-(a+b) \times\left(\frac{c}{(b-a)}-\frac{c}{(b+a)}\right)\right)}=\frac{-y}{\left(-\frac{2 a b}{(a+b)}\right)-\left(-(a+b) \times\left(\frac{a}{(a-b)}-\frac{a}{(a+b)}\right)\right)}$
$=\frac{1}{\left(\frac{b c}{(b-a)}-\frac{b c}{(b+a)}\right)-\left(\frac{a c}{(a-b)}-\frac{a c}{(a+b)}\right)}$
$\frac{x}{\left(-\frac{2 a c}{(a+b)}\right)-\left(\frac{-(a+b) c}{(b-a)}+c\right)}=\frac{-y}{\left(-\frac{2 a b}{(a+b)}\right)-\left(\frac{-(a+b) a}{(a-b)}+a\right)}$
$=\frac{1}{\left(\frac{b c(b+a)-b c(b-a)}{(b-a)(b+a)}\right)-\left(\frac{a c(a+b)-a c(a-b)}{(a-b)(a+b)}\right)}$
$\frac{x}{\left(-\frac{2 a c}{(a+b)}\right)-\left(\frac{-(a+b) c+c(b-a)}{(b-a)}\right)}=\frac{-y}{\left(-\frac{2 a b}{(a+b)}\right)-\left(\frac{-(a+b) a+a(a-b)}{(a-b)}\right)}$
$=\frac{1}{\left(\frac{b c(b+a)-b c(b-a)}{(b-a)(b+a)}\right)-\left(\frac{a c(a+b)-a c(a-b)}{(a-b)(a+b)}\right)}$
$\frac{x}{\left(-\frac{2 a c}{(a+b)}\right)-\left(\frac{-a c-b c+c b-a c}{(b-a)}\right)}=\frac{-y}{\left(-\frac{2 a b}{(a+b)}\right)-\left(\frac{-a^{2}-a b+a^{2}-a b}{(a-b)}\right)}$
$=\frac{1}{\left(\frac{2 a b c}{(b-a)(b+a)}\right)-\left(\frac{2 a b c}{(a-b)(a+b)}\right)}$
$\frac{x}{\left(-\frac{2 a c}{(a+b)}\right)-\left(\frac{-2 a c}{(b-a)}\right)}=\frac{-y}{\left(-\frac{2 a b}{(a+b)}\right)-\left(\frac{-2 a b}{(a-b)}\right)}=\frac{1}{\left(\frac{2 a b c}{(b-a)(b+a)}\right)-\left(\frac{2 a b c}{(a-b)(a+b)}\right)}$
$\frac{x}{\left(\frac{-2 a c(b-a)+2 a c(a+b)}{(a+b)(b-a)}\right)}=\frac{y}{\left(\frac{2 a b(a-b)+(-2 a b)(a+b)}{(a+b)(a-b)}\right)}$
$=\frac{1}{\left(\frac{2 a b c}{(b-a)(b+a)}\right)-\left(\frac{2 a b c}{(a-b)(a+b)}\right)}$
$\frac{x}{\left(\frac{4 a^{2} c}{(a+b)(b-a)}\right)}=\frac{y}{\left(\frac{-4 a b^{2}}{(a+b)(a-b)}\right)}=\frac{1}{\left(\frac{-4 a b c}{\left(a^{2}-b^{2}\right)}\right)}$
$\frac{x}{-4 a^{2} c}=\frac{y}{-4 a b^{2}}=\frac{1}{-4 a b c}$
Consider the following for x
$\frac{x}{-4 a^{2} c}=\frac{1}{-4 a b c}$
$\Rightarrow x=\frac{a}{b}$
Now for y
$\frac{y}{-4 a b^{2}}=\frac{1}{-4 a b c}$
$\Rightarrow y=\frac{b}{c}$
Hence we get the value of $x=\frac{a}{b}$ and $y=\frac{b}{c}$