Solve each of the following systems of equations by the method of cross-multiplication :
Solve each of the following systems of equations by the method of cross-multiplication :
$\frac{x}{a}=\frac{y}{b}$
$a x+b y=a^{2}+b^{2}$
GIVEN:
$\frac{x}{a}=\frac{y}{b}$
$a x+b y=a^{2}+b^{2}$
To find: The solution of the systems of equation by the method of cross-multiplication:
Here we have the pair of simultaneous equation
$\frac{x}{a}-\frac{y}{b}=0$
$a x+b y-\left(a^{2}+b^{2}\right)=0$
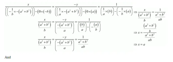
By cross multiplication method we get

$\frac{-y}{\left(\frac{-\left(a^{2}+b^{2}\right)}{a}\right)}=\frac{1}{\left(\frac{(b)}{a}\right)-\left(-\frac{(a)}{b}\right)}$
$\frac{\frac{-y}{-\left(a^{2}+b^{2}\right)}}{\frac{a}{a}}=\frac{1}{\frac{a^{2}+b^{2}}{a b}}$
$\frac{\frac{y}{\left(a^{2}+b^{2}\right)}}{\frac{a}{a}}=\frac{\frac{1}{a^{2}+b^{2}}}{a b}$
$\Rightarrow y=\frac{\frac{\left(a^{2}+b^{2}\right)}{a}}{\frac{a^{2}+b^{2}}{a b}}$
$\Rightarrow y=b$
Hence we get the value of $x=a$ and $y=b$