Question:
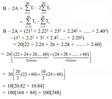
Let $A$ be the sum of the first 20 terms and B be the sum of the first 40 terms of the series $1^{2}+2 \cdot 2^{2}+3^{2}+2 \cdot 4^{2}+5^{2}+2 \cdot 6^{2}+\ldots \ldots \ldots$ If $\mathrm{B}-2 \mathrm{~A}=100 \lambda$, then $\lambda$ is equal to :
Correct Option: 1
Solution:
