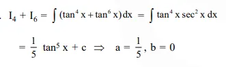
Question: Let $I_{n}=\int \tan ^{n} x d x,(n>1) . I_{4}+I_{6}=a \tan ^{5} x+b x^{5}+C$, where $C$ is a constant of integration, then the ordered pair $(a, b)$ is equal to :-
$\left(-\frac{1}{5}, 0\right)$
$\left(-\frac{1}{5}, 1\right)$
$\left(\frac{1}{5}, 0\right)$
$\left(\frac{1}{5},-1\right)$
Correct Option:
Solution:
