Solve the equation – 4 + (-1) + 2 +… + x = 437.
Given equation is, – 4 -1 + 2 + … + x = 437 …(i)
Here, – 4-1 + 2 + …+ x forms an AP with first term =-4, common difference =3,
an = l = x
$\because$ nth term of an AP, $a_{n}=l=a+(n-1) d$
$\Rightarrow \quad x=-4+(n-1) 3$
$\Rightarrow \quad \frac{x+4}{3}=n-1 \Rightarrow n=\frac{x+7}{3}$ ....(ii)
$\therefore \quad$ Sum of an AP, $S_{n}=\frac{n}{2}[2 a+(n-1) d]$
$S_{n}=\frac{x+7}{2 \times 3}\left[2(-4)+\left(\frac{x+4}{3}\right) \cdot 3\right]$
$=\frac{x+7}{2 \times 3}(-8+x+4)=\frac{(x+7)(x-4)}{2 \times 3}$
From Eq. (i),
$S_{n}=437$
$\Rightarrow \quad \frac{(x+7)(x-4)}{2 \times 3}=437$
$\Rightarrow \quad x^{2}+7 x-4 x-28=874 \times 3$
$\Rightarrow \quad x^{2}+3 x-2650=0$
$x=\frac{-3 \pm \sqrt{(3)^{2}-4(-2650)}}{2}$ [by quadratic formula]
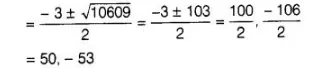
$=\frac{-3 \pm \sqrt{9+10600}}{2}$

Here, x cannot be negative, i.e., x ≠- 53
also, for x = -53, n will be negatuve which is not possible
Hence, the required value of x is 50.