Solve the following :
Question:
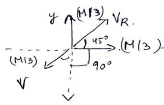
A block at rest explodes into three equal parts. Two parts starts moving along $X$ and $Y$ axes respectively with equal speeds of $10 \mathrm{~m} / \mathrm{s}$. Find the initial velocity of the third part.
Solution:

resultant velocity of 2 particles moving along $x$ and $y$-axis
$V_{R}=\sqrt{(10)^{2}+(10)^{2}+2(10)(10) \cos 90^{\circ}}$
$=10 \sqrt{2} \mathrm{~m} / \mathrm{s}$
C.O.L.M
$\Rightarrow 0=\frac{M}{3}(V+10 \sqrt{2})$
$\Rightarrow V=-10 \sqrt{2}$
So,

$V$ is along $135^{\circ}$ below x-axis.