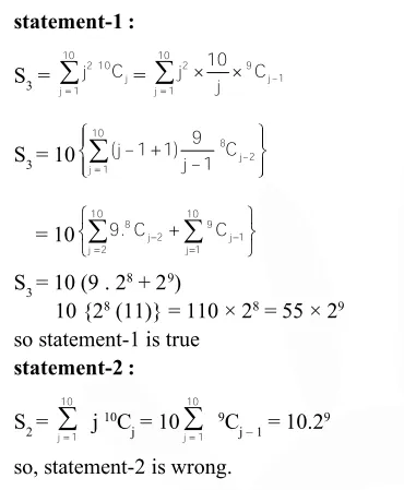
Question: Let $S_{1}=\sum_{j=1}^{10} j(j-1)^{10} C_{j}, S_{2}=\sum_{j=1}^{10} j^{10} C_{j}$ and $S_{3}=\sum_{j=1}^{10} j^{210} C_{j}$
Statement-1: $\mathrm{S}_{3}=55 \times 2^{9}$.
Statement-2 : $S_{1}=90 \times 2^{8}$ and $S_{2}=10 \times 2^{8}$.
(1) Statement–1 is true, Statement–2 is true ; Statement–2 is a correct explanation for Statement–1.
Statement–1 is true, Statement–2 is true ; Statement–2 is not a correct explanation for Statement–1.
Statement–1 is true, Statement–2 is false.
Statement–1 is false, Statement–2 is true.
Correct Option: , 3
Solution:
