Solve the following

Question:

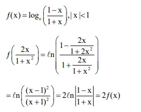
If $f(x)=\log _{e}\left(\frac{1-x}{1+x}\right),|x|<1$, then $f\left(\frac{2 x}{1+x^{2}}\right)$ is equal to :

 

  1. $2 f(\mathrm{x})$

  2. $2 f\left(x^{2}\right)$

  3. $(f(x))^{2}$

  4. $-2 f(x)$


Correct Option: 1

Solution:

Leave a comment