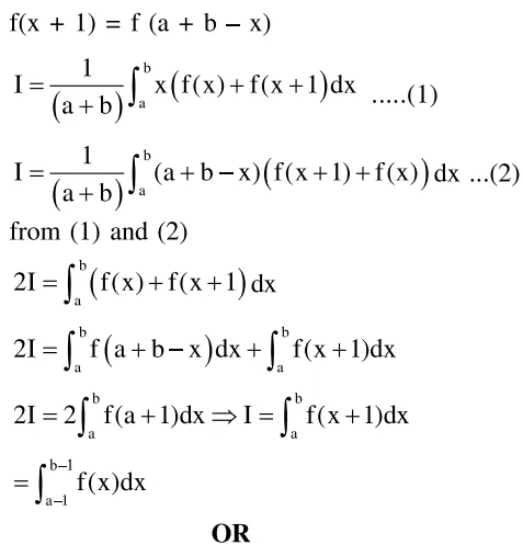
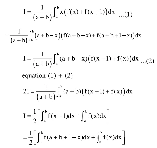
Question:
If $f(\mathrm{a}+\mathrm{b}+1-\mathrm{x})=f(\mathrm{x})$, for all $\mathrm{x}$, where $\mathrm{a}$ and $b$ are fixed positive real numbers, then
$\frac{1}{\mathrm{a}+\mathrm{b}} \int_{\mathrm{a}}^{\mathrm{b}} \mathrm{x}(f(\mathrm{x})+f(\mathrm{x}+1)) \mathrm{dx}$ is equal to :
Correct Option: , 4
Solution:


