Solve the following pairs of equations
(i) $x+y=3.3$, $\frac{0.6}{3 x-2 y}=-1,3 x-2 y \neq 0$
(ii) $\frac{x}{3}+\frac{y}{4}=4$, $\frac{5 x}{6}-\frac{y}{8}=4$
(iii) $4 x+\frac{6}{y}=15$, $6 x-\frac{8}{y}=14, y \neq 0$
(iv) $\frac{1}{2 x}-\frac{1}{y}=-1$ $\frac{1}{x}+\frac{1}{2 y}=8, x, y \neq 0$
(v) $43 x+67 y=-24$, $67 x+43 y=24$
(vi) $\frac{x}{a}+\frac{y}{b}=a+b$, $\frac{x}{a^{2}}+\frac{y}{b^{2}}=2, a, b \neq 0$
(vii) $\frac{2 x y}{x+y}=\frac{3}{2}$ $\frac{x y}{2 x-y}=\frac{-3}{10}, x+y \neq 0,2 x-y \neq 0$
(i) Given pair of linear equations are is
$x+y=3.3$ $\ldots($ (i)
and $\frac{0.6}{3 x-2 y}=-1$
$\Rightarrow$ $0.6=-3 x+2 y$
$\Rightarrow \quad 3 x-2 y=-0.6$ ...(ii)
Now, multiplying Eq. (i) by 2 and then adding with Eq. (ii), we get
$\Rightarrow \quad 2 x+2 y=6.6$
$\Rightarrow \quad 3 x-2 y=-0.6$
$5 x=6 \Rightarrow x=\frac{6}{5}=1.2$
Now, put the value of $x$ in Eq. (i), we get
$1.2+y=3.3$
$\Rightarrow \quad y=3.3-1.2$
$\Rightarrow \quad y=2.1$
Hence, the required values of $x$ and $y$ are $1.2$ and $2.1$, respectively.
(ii) Given, pair of linear equations is
$\frac{x}{3}+\frac{y}{4}=4$ $\ldots$ (i)
and $\quad \frac{5 x}{6}-\frac{y}{8}=4$
On multiplying both sides by LCM $(6,8)=24$, we get
$20 x-3 y=96$ ... (ii)
Now, adding Eqs. (i) and (ii), we get
$24 x=144$
$\Rightarrow \quad x=6$
Now, put the value of $x$ in Eq. (i), we get
$4 \times 6+3 y=48$
$\Rightarrow \quad 3 y=48-24$
$\Rightarrow \quad 3 y=24 \Rightarrow y=8$
Hence, the required values of $x$ and $y$ are 6 and 8 , respectively.
(iii) Given pair of linear equations are
$4 x+\frac{6}{y}=15$ $\ldots(\mathrm{i})$
and $6 x-\frac{8}{y}=14, y \neq 0$ ...(ii)
Let $u=\frac{1}{y}$, then above equation becomes
$4 x+6 u=15$ ..(iii)
and $\quad 6 x-8 u=14$ $6 x-8 u=14$ $\ldots$.(iv)
On multiplying Eq. (iii) by 8 and Eq. (iv) by 6 and then adding both of them, we get
$32 x+48 u=120$
$36 x-48 u=84 \Rightarrow 68 x=204$
$\Rightarrow \quad x=3$
Now, put the value of $x$ in Eq. (iii), we get
$4 \times 3+6 u=15$
$\Rightarrow \quad 6 u=15-12 \Rightarrow 6 u=3$
$\Rightarrow \quad u=\frac{1}{2} \Rightarrow \frac{1}{y}=\frac{1}{2}$ $\left[\because u=\frac{1}{y}\right]$
$\Rightarrow \quad y=2$
Hence, the required values of $x$ and $y$ are 3 and 2, respectively.
(iv) Given pair of linear equations is
$\frac{1}{2 x}-\frac{1}{y}=-1$ $\ldots$ (i)
and $\frac{1}{x}+\frac{1}{2 y}=8, x, y \neq 0$ ....(ii)
Let $u=\frac{1}{x}$ and $v=\frac{1}{y}$, then the above equations becomes
$\frac{u}{2}-v=-1$
$\Rightarrow \quad u-2 v=-2 \quad$...(iii)
and $u+\frac{v}{2}=8$
$\Rightarrow$ $2 u+v=16$ ...(iv)
On, multiplying Eq. (iv) by 2 and then adding with Eq. (iii), we get
$4 u+2 v=32$
$\frac{u-2 v=-2}{5 u=30}$
$\Rightarrow \quad u=6$
Now, put the value of $u$ in Eq. (iv), we get
$2 \times 6+v=16$
$\Rightarrow \quad v=16-12=4$
$\Rightarrow \quad v=4$
$\therefore$ $x=\frac{1}{u}=\frac{1}{6}$ and $y=\frac{1}{v}=\frac{1}{4}$
Hence, the required values of $x$ and $y$ are $\frac{1}{6}$ and $\frac{1}{4}$, respectively.
(v) Given pair of linear equations is
$43 x+67 y=-24$ ...(i)
and $67 x+43 y=24$ $\ldots$ (ii)
On multiplying Eq. (i) by 43 and Eq. (ii) by 67 and then subtracting both of them, we get
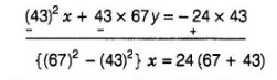
$(67)^{2} x+43 \times 67 y=24 \times 67$

$\Rightarrow \quad(67+43)(67-43) x=24 \times 110 \quad\left[\because\left(a^{2}-b^{2}\right)=(a-b)(a+b)\right]$
$\Rightarrow \quad 110 \times 24 x=24 \times 110$
$\Rightarrow \quad x=1$
Now, put the value of $x$ in Eq. (i), we get
$43 \times 1+67 y=-24$
$\Rightarrow \quad 67 y=-24-43$
$\Rightarrow \quad .67 y=-67$
$\Rightarrow \quad y=-1$
Hence, the required values of $x$ and $y$ are 1 and $-1$, respectively.
(vi) Given pair of linear equations is
$\frac{x}{a}+\frac{y}{b}=a+b$ $\ldots$ (i)
and $\frac{x}{a^{2}}+\frac{y}{b^{2}}=2, a, b \neq 0$ ..(ii)
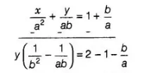
On multiplying Eq. (i) by $\frac{1}{a}$ and then subtracting from Eq. (ii), we get
$\frac{x}{a^{2}}+\frac{y}{b^{2}}=2$

$\Rightarrow \quad y\left(\frac{a-b}{a b^{2}}\right)=1-\frac{b}{a}=\left(\frac{a-b}{a}\right)$
$\Rightarrow \quad y=\frac{a b^{2}}{a} \Rightarrow y=b^{2}$
Now, put the value of $y$ in Eq. (ii), we get
$\frac{x}{a^{2}}+\frac{b^{2}}{b^{2}}=2$
$\Rightarrow \quad \frac{x}{a^{2}}=2-1=1$
$\Rightarrow \quad x=a^{2}$
Hence, the required values of $x$ and $y$ are $a^{2}$ and $b^{2}$, respectively.
(vii) Given pair of equations is
$\frac{2 x y}{x+y}=\frac{3}{2}$, where $x+y \neq 0$
$\Rightarrow \quad \frac{x+y}{2 x y}=\frac{2}{3}$
$\Rightarrow \quad \frac{x}{x y}+\frac{y}{x y}=\frac{4}{3}$
$\Rightarrow \quad \frac{1}{y}+\frac{1}{x}=\frac{4}{3}$ ...(i)
and $\frac{x y}{2 x-y}=\frac{-3}{10}$, where $2 x-y \neq 0$
$\Rightarrow \quad \frac{2 x-y}{x y}=\frac{-10}{3}$
$\Rightarrow \quad \frac{2 x}{x y}-\frac{y}{x y}=\frac{-10}{3}$
$\Rightarrow \quad \frac{2}{y}-\frac{1}{x}=\frac{-10}{3}$ .....(ii)
Now, put $\frac{1}{x}=u$ and $\frac{1}{y}=v$, then the pair of equations becomes
$v+u=\frac{4}{3}$ ......(iii)
and $2 v-u=\frac{-10}{3}$ .....(iv)
On adding both equations, we get
$3 v=\frac{4}{3}-\frac{10}{3}=\frac{-6}{3}$
$\Rightarrow \quad 3 v=-2$
$\Rightarrow \quad v=\frac{-2}{3}$
Now, put the value of $v$ in Eq. (iii), we get
$\frac{-2}{3}+u=\frac{4}{3}$
$\Rightarrow \quad u=\frac{4}{3}+\frac{2}{3}=\frac{6}{3}=2$
$\therefore$ $x=\frac{1}{u}=\frac{1}{2}$
and $y=\frac{1}{v}=\frac{1}{(-2 / 3)}=\frac{-3}{2}$
Hence, the required values of $x$ and $y$ are $\frac{1}{2}$ and $\frac{-3}{2}$, respectively.