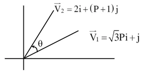
For $\mathrm{p}>0$, a vector $\overrightarrow{\mathrm{v}}_{2}=2 \hat{\mathrm{i}}+(\mathrm{p}+1) \hat{\mathrm{j}}$ is obtained by rotating the vector $\overrightarrow{\mathrm{v}}_{1}=\sqrt{3}$ pi $+\hat{\mathrm{j}}$ by an angle $\theta$ about origin in counter clockwise direction. If $\tan \theta=\frac{(\alpha \sqrt{3}-2)}{(4 \sqrt{3}+3)}$, then the value of $\alpha$ is equal to

$\left|\overrightarrow{\mathrm{V}}_{1}\right|=\left|\overrightarrow{\mathrm{V}_{2}}\right|$
$3 \mathrm{P}^{2}+1=4+(\mathrm{P}+1)^{2}$
$2 \mathrm{P}^{2}-2 \mathrm{P}-4=0 \Rightarrow \mathrm{P}^{2}-\mathrm{P}-2=0$
$P=2,-1$ (rejected)
$\cos \theta=\frac{\overrightarrow{V_{1}} \cdot \overrightarrow{V_{2}}}{\left|\overrightarrow{V_{1}}\right|\left|\overrightarrow{V_{2}}\right|}=\frac{2 \sqrt{3} P+(P+1)}{\sqrt{(P+1)^{2}+4} \sqrt{3 P^{2}+1}}$
$\cos \theta=\frac{4 \sqrt{3}+3}{\sqrt{13} \sqrt{13}}=\frac{4 \sqrt{3}+3}{13}$
$\tan \theta=\frac{\sqrt{112-24 \sqrt{3}}}{4 \sqrt{3}+3}=\frac{6 \sqrt{3}-2}{4 \sqrt{3}+3}=\frac{\alpha \sqrt{3}-2}{4 \sqrt{3}+3}$
$\Rightarrow \alpha=6$