Question:
Solve the following systems of equations:
$0.5 x+0.7 y=0.74$
$0.3 x+0.5 y=0.5$
Solution:
The given equations are:
$0.5 x+0.7 y=0.74 \ldots(i)$
$0.3 x+0.5=0.5 \ldots(i i)$
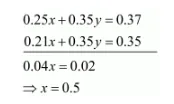
Multiply equation $(i)$ by $0.5$ and $(i i)$ by 2 and subtract equation (ii) from (i) we get

Put the value of $x$ in equation $(i)$, we get
$0.5 \times 0.5+0.7 y=0.74$
$\Rightarrow 0.7 y=0.49$
$\Rightarrow y=0.7$
Hence the value of $x=0.5$ and $y=0.7$