Question:
Solve the following systems of equations:
$x+y=5 x y$
$3 x+2 y=13 x y$
$x \neq 0, y \neq 0$
Solution:
The given equations are:
$x+y=5 x y \quad \ldots(i)$
$3 x+2 y=13 x y \quad \ldots(i i)$
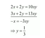
Multiply equation $(i)$ by 2 and subtract (ii) from (i), we get

Put the value of $y$ in equation $(i)$, we get
$x+\frac{1}{3}=5 x \times \frac{1}{3}$
$\Rightarrow \frac{2 x}{3}=\frac{1}{3}$
$\Rightarrow x=\frac{1}{2}$
Hence the value of $x=\frac{1}{2}$ and $y=\frac{1}{3}$