Solve the following systems of equations:
Question:
Solve the following systems of equations:
$x+y=2 x y$
$\frac{x-y}{x y}=6$
$x \neq 0, y \neq 0$
Solution:
The given equations are:
$x+y=2 x y \ldots(i)$
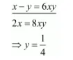
$\frac{x-y}{x y}=6$
$x-y=6 x y$$\ldots(i i)$
Add both equations we get
$x+y=2 x y$

Put the value of $y$ in equation $(i)$, we get
$x+\frac{1}{4}=2 x \times \frac{1}{4}$
$\Rightarrow \frac{-x}{2}=\frac{1}{4}$
$\Rightarrow x=-\frac{1}{2}$
Hence the value of $x=-\frac{1}{2}$ and $y=\frac{1}{4}$.