Solve the following systems of equations:
Question:
Solve the following systems of equations:
$\frac{x y}{x+y}=\frac{6}{5}$
$\frac{x y}{y-x}=6$
where $x+y \neq 0, y-x \neq 0$
Solution:
The given equations are:
$\frac{x y}{x+y}=\frac{6}{5}$
$6 x+6 y=5 x y \quad \ldots(i)$
$\frac{x y}{y-x}=6$
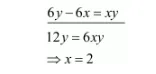
$6 y-6 x=x y \quad \ldots(i i)$
Add both equations, we get
$6 x+6 y=5 x y$

Put the value of $x$ in equation $(i)$, we get
$22 \times-\frac{1}{11}+15 v=5$
$\Rightarrow 15 v=3$
$\Rightarrow v=\frac{1}{5}$
Hence the value of $x=2$ and $y=3$