Question:
Solve the system of in equation $x-2 \geq 0,2 x-5 \leq 3$
Solution:
We have to find values of x for which both the equations hold true
$x-2 \geq 0$ and $2 x-5 \leq 3$
We will solve both the equations separately and then their intersection set will be solution of the system
$x-2 \geq 0$
$\Rightarrow x \geq 2$
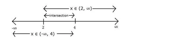
Hence $x \in(2, \infty)$
Now, $2 x-5 \leq 3$
$\Rightarrow 2 x \leq 3+5$
$\Rightarrow 2 x \leq 8$
$\Rightarrow x \leq 4$
Hence $x \in(-\infty, 4)$
The intersection of set $(2, \infty)$ and $(-\infty, 4)$ is $(2,4)$
Representing on number line

Hence solution set for given system of equation is $x \in(2,4)$