Solve This

Question:

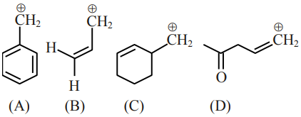
Among the given species the Resonance stabilised carbocations are:

  1. (C) and (D) only

  2. (A), (B) and (D) only

  3. (A) and (B) only

  4. (A), (B) and (C) only


Correct Option: , 3

Solution:

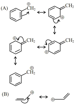
(A) and (B) only in Resonance

  

Leave a comment