Solve this following

Question:

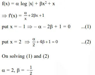
If $x=-1$ and $x=2$ are extreme points of $f(x)=\alpha \log |x|+\beta x^{2}+x$ then :

 

  1. $\alpha=-6, \beta=\frac{1}{2}$

  2. $\alpha=-6, \beta=-\frac{1}{2}$

  3. $\alpha=2, \beta=-\frac{1}{2}$

  4. $\alpha=2, \beta=\frac{1}{2}$


Correct Option: , 3

Solution:

Leave a comment