Question:
Mark $(\sqrt{)}$ against the correct answer in each of the following:
$\int \frac{\sin x}{\sin 3 x} d x=?$
A. $\frac{1}{2 \sqrt{3}} \log \left|\frac{\sqrt{3}+\sin x}{\sqrt{3}-\sin x}\right|+C$
B. $\frac{1}{2 \sqrt{3}} \log \left|\frac{\sqrt{3}+\cos x}{\sqrt{3}-\cos x}\right|+C$
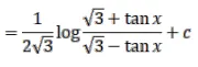
C. $\frac{1}{2 \sqrt{3}} \log \left|\frac{\sqrt{3}+\tan x}{\sqrt{3}-\tan x}\right|+C$
D. none of these
Solution:

