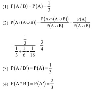
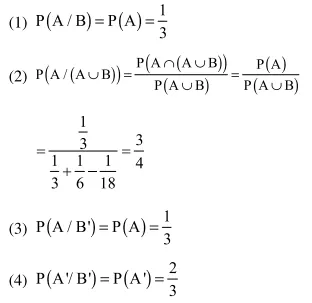
Question: Let $\mathrm{A}$ and $\mathrm{B}$ be two independent events such that $P(A)=\frac{1}{3}$ and $P(B)=\frac{1}{6}$. Then, which of the following is TRUE?
$\mathrm{P}(\mathrm{A} / \mathrm{B})=\frac{2}{3}$
$\mathrm{P}(\mathrm{A} /(\mathrm{A} \cup \mathrm{B}))=\frac{1}{4}$
$\mathrm{P}\left(\mathrm{A} / \mathrm{B}^{\prime}\right)=\frac{1}{3}$
$P\left(A^{\prime} / B^{\prime}\right)=\frac{1}{3}$
Correct Option: , 3
Solution:
