Solve this following
Question:
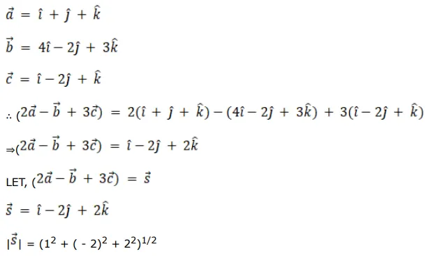
If $\overrightarrow{\mathrm{a}}=(\hat{\mathrm{i}}+\hat{\mathrm{j}}+\hat{\mathrm{k}}), \overrightarrow{\mathrm{b}}=(4 \hat{\mathrm{i}}-2 \hat{\mathrm{j}}+3 \hat{\mathrm{k}})$ and $\overrightarrow{\mathrm{c}}=(\hat{\mathrm{i}}-2 \hat{\mathrm{j}}+\hat{\mathrm{k}})$ find a vector of magnitude 6 units which is parallel to the vector $(2 \overrightarrow{\mathrm{a}}-\overrightarrow{\mathrm{b}}+3 \overrightarrow{\mathrm{c}})$
Solution:

