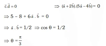
Question: Let $\hat{a}$ and $\hat{b}$ be two unit vectors. If the vectors $\vec{c}=\hat{a}+2 \hat{b}$ and $\vec{d}=5 \hat{a}-4 \hat{b}$ are perpendicular to each other, then the angle between $\hat{a}$ and $\hat{b}$ is :
$\frac{\pi}{4}$
$\frac{\pi}{6}$
$\frac{\pi}{2}$
$\frac{\pi}{3}$
Correct Option: , 4
Solution:
